ВЛИЯНИЕ БЫСТРОГО ТЕМПА
НА РЕАЛИЗАЦИЮ РУССКИХ ШУМНЫХ СМЫЧНО-ВЗРЫВНЫХ
СОГЛАСНЫХ
В РЕЧИ
ЖИТЕЛЕЙ ДАЛЬНЕГО ВОСТОКА
Е.М. Клименко
БГПУ, Благовещенск
В настоящей статье рассматриваются особенности
реализации русских шумных смычно-взрывных согласных в подготовленной речи носителей русского языка при быстром и
медленном темпах речи. Актуальность предпринятого исследования обусловлена
недостаточной изученностью влияния темпоральных
характеристик на особенности реализации согласных, в частности, смычно-взрывных.
В работе предпринята попытка изучения влияния особенностей просодического
оформления на реализацию согласных звуков. В качестве объекта исследования были
взяты четыре твердых согласных /p, b, t, d/
(глухие и звонкие губные и переднеязычные). Выбор этих согласных по активному
органу обусловлен их разной ингерентной
длительностью, связанной с неодинаковой подвижностью задействованных артикуляторов (губные — самые длительные, переднеязычные —
самые краткие [16, c.7;
15]).
Материалом для данного исследования
послужил начитанный в быстром и медленном темпах фонетически
представительный текст «Был тихий серый вечер» [13] в
произнесении двух дикторов-женщин (студентов АмГУ) в
возрасте 20 лет, носителей русского языка, обладающих быстрым индивидуальным темпом речи, постоянно проживающих на
территории Дальнего Востока. Текст был дополнительно представлен в виде
изолированных слов объёмом 361 слово, которые были также начитаны дикторами для
получения некоего эталона для исследуемых согласных. Общая продолжительность звучания текстов составила 27
минут 20 секунд. Все дикторы являются носителями стандартного произношения.
Нормативность дикторов устанавливалась на основании экспертного анализа и
подтвердилась впоследствии отзывами аудиторов.
Сегментация речевого потока, выделение слов из
контекста и анализ осуществлялись на ПЭВМ в программе PRAAT. В
ходе исследования использовались методы слухового анализа, сплошной выборки,
акустического анализа, математико-статистической обработки. Полученные данные
подверглись лингвистической интерпретации.
В соответствии с целью
исследования в работе решались такие задачи, как определение понятия «темп»,
его роли при реализации сегментных единиц. Экспериментальный анализ включал следующие
этапы: 1) определение среднего темпа каждого из дикторов; 2) получение
статистических характеристик сегментов в зависимости от темпа речи.
О темпе речи можно
судить двояким образом [9]: 1) по среднему звучанию некоторой лингвистической
единицы, например звука или слова; 2) по количеству лингвистических единиц,
появившихся в единицу времени, например, по количеству слов в минуту. В первом
случае, как правило, паузы не учитываются и говорят о так называемой
артикуляторной длительности. Во втором случае паузы обычно не исключаются [12, c.
216].
По данным М. А. Сапожкова и В. Г.
Михайлова [10, с. 112], средняя длительность гласных в дикторской речи 180 мс, согласных – 95 мс, а слога –
260 мс. Однако эта величина очень вариабельна.
Во-первых, она зависит от типа звука. Во-вторых, средняя длительность звука
определяется положением его в слове [12, c. 216]. В-третьих,
наблюдается определённая зависимость средней длительности звука от длины фразы.
В-четвёртых, средняя длительность звука зависит от индивидуального темпа речи.
Артикуляторная средняя длительность колеблется в нормальном темпе от 72 до 120 мс, а в быстром – от 48 до 61 мс
[9]. Следует заметить, что основные данные по темпу речи получены на записях
чтения. Исследования ЛЭФ ЛГУ показали, что типичный
медленный темп – 91 слово в минуту, средний – 105, а быстрый 133 слова в минуту
[12, c. 217].
Данные о темпе, в особенности о его оценках, не совпадают у
разных авторов. Например, по данным «Справочника по инженерной психолгии» [11, с. 76], оптимальным считается темп 60-80
слов/мин, а допустимым – 120 слов. По-видимому, прежде всего разница зависит от
того, что называют средним или быстрым темпом и в каких условиях
рассматривается эта самая «оптимальность» [12, c. 218].
Темп речи определяется
как скорость артикуляции и измеряется числом звуковых единиц, или же наоборот,
средней длительностью звуковой единицы. По мнению Бондарко Л.В. «целесообразно
различать нормальный индивидуальный темп речи говорящего и некоторые его
изменения в двух возможных направлениях – быстрый и медленный темпы» [2, с.
115].
Известно, что темп речи
оказывает некоторое влияние на количественные и качественные изменения звуков,
как гласных, так и согласных. При варьировании темпа акустические
характеристики гласных и согласных изменяются неодинаково. Относительно
согласных убыстрение темпа приводит к некоторому ослаблению артикуляции, что
выражается в ослаблении взрыва у смычно-взрывных согласных, а также ослаблении
смычки и появлении спирантизации у таких согласных [9, с. 11].
Исследование темпоральных характеристик речи позволяет раскрыть
механизмы влияния темпа на акустические характеристики сегментных единиц, так
как темп речи оказывает существенное влияние на модификацию звуков. Различный
темп определяется стилем произношения, который, в свою очередь, обусловлен
ситуацией. Таким образом, данные о длительности являются одним из компонентов
исходного материала, и при исследовании данный аспект нуждается в специальной
интерпретации, так как он зависит от множества взаимодействующих факторов [3,
с. 137].
Исследования
качественных характеристик звуков в быстром темпе позволили обнаружить, что с
изменением темпа речи происходит не просто уменьшение или увеличение абсолютной
длительности звука, но и изменение его спектральных характеристик [4].
Замедление темпа, как
известно, способствует увеличению длительности фонем, снижению случаев
редукции, а также реализации сегментов в полном типе произнесения. Средний темп
существенным образом не влияет на скорость артикуляции, что не приводит к
появлению значительного количества модификаций звуков. Вместе с тем,
установлено, что характеристики аллофонов будут различными в зависимости от
расположения сегмента на участке темы или ремы, маркировка которых
осуществляется с помощью просодических средств, в том числе путем
ускорения/замедления темпа [14,
с. 120].
Согласно Л.В. Бондарко,
убыстрение темпа достигается путем сокращения длительности звуков, т.е.
увеличением скорости артикуляции. Нет сомнений в том, что при быстром темпе
паузы между словами сокращаются или вовсе исчезают. Кроме того, следствием
убыстрения речи может быть исчезновение ряда звуков [2, с. 142].
Для интонации речи темп
произнесения является как стилистическим, так и логико-семантическим средством,
определяющим в коммуникативном плане характер высказывания. В первом случае
темп – это основной фактор классификации речевых стилей. Во втором – функцией
темпа является противопоставление важного неважному,
нового неновому. В темпе отражается отношение говорящего
к высказываемой мысли. Главное и новое произносится обычно в
более медленном темпе, а неважное – в быстром [7, c. 265]. То есть, темп речи
позволяет определить ее структурно-семантические элементы (тема-рема).
Известно, что
использование просодических характеристик является универсальным свойством всех
языков для интонационно-смыслового членения речи, передачи коммуникативного
смысла высказывания, противопоставления важной информации менее значимой.
Помимо прочих факторов, количество смысловых отрезков в предложении зависит от
темпа речи, т.е. произнесение предложения быстрее или медленнее способно
существенным образом повлиять на синтагматическое членение высказывания [5, с.
64].
Необходимо
отметить, что женская речь характеризуется более быстрым темпом по сравнению с мужской. Соответственно, звуки в женской речи отличаются
меньшей длительностью [6, с. 204], а значит и большей
вероятностью качественных изменений, что и обусловило выбор дикторов.
Таблица
1
Средняя длительность согласных /p, b, t, d/ русского языка
в медленном и быстром темпах речи у D1 и D2
(в мс.)
|
№ п/п |
Согл. |
Медленный темп D1 |
Быстрый темп D1 |
Медленный темп D2 |
Быстрый темп D2 |
|
1 |
/p/ |
76,5 |
55 |
71,6 |
65,2 |
|
2 |
/t/ |
62 |
47 |
77,8 |
63,9 |
|
3 |
/b/ |
71,4 |
56,4 |
68,3 |
61,3 |
|
4 |
/d/ |
51,8 |
41,2 |
62,1 |
59,8 |
На первом этапе
исследования осуществлялось измерение среднего темпа каждого диктора. За единицу измерения было выбрано
количество сегментов в единицу времени. Паузы не учитывались. Средний темп речи
D1 – 132 слов/мин.; D2 – 130 слов/мин. Также
мы подсчитали среднюю артикуляторную длительность звука, которая составила для D1 –
60 мс.; D2 –
56 мс. Данные цифры свидетельствуют о быстром темпе
речи дикторов.
На
следующем этапе было выбрано по 10 реализаций каждого согласного в
интервокальной позиции (типа ГСГ, где Г – это гласный, С – согласный) и на
стыке слов, для которых подсчитывалась средняя длительность в быстром и
медленном темпах произнесения.
Согласно таблице 1,
наблюдается разница в длительности исследуемых смычно-взрывных согласных при
разном темпе речи двух дикторов. Быстрый темп речи уменьшает длительность
исследуемых согласных по сравнению с медленным темпом произнесения. Заметим,
что разница между медленным и быстрым темпом у D1 более заметна, чем у D2.
Кроме того можно
выделить следующие тенденции:
1) при
быстром и медленном темпах у D1 длительность
губно-губных согласных /p/ и /b/
больше чем у переднеязычных /t/ и /d/;
2) при быстром и медленном темпах у D2 длительности
губно-губного /p/ и переднеязычного /t/ больше чем у
губно-губного /b/ и переднеязычного /d/ (глухие длительнее
звонких);
3) при медленном темпе у D1 губно-губной, глухой /p/
длиннее губно-губного звонкого /b/
и, наоборот, в быстром темпе /b/ длиннее /p/
(глухость-звонкость); /t/ длительнее /d/.
Очевидно, что
особенности реализации согласных в речи D1 коррелируют с данными, полученными
ранее Хадгинзом и Стетсоном,
в то время в речи D2 более чувствительным к изменению темпа оказывается признак
глухости /звонкости согласных.
Одной из задач
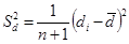
исследования было проведение статистического анализа полученных данных. Вычисления производились по формулам:
;
;
;
![]()
где d – среднее по ряду данных; s2d –
стандартное квадратичное отклонение; tФ
– параметр согласно критерию Стьюдента по экспериментальным данным; tq – критическое значение по критерию Стьюдента,
рассчитанное встроенной функцией для русской версии MS Excel
– СТЬЮДРАСПОБР.
При сравнении средних значений по правилам статистического
анализа выдвигается нулевая гипотеза о равенстве двух средних. Таким образом, нулевая гипотеза в нашем исследовании – средние
длительности согласных в медленном и быстром темпах равны. Для нашего
исследования необходимо чтобы tФ
превысило tq, чтобы доказать, что tФ больше tq
и тем самым опровергнуть нулевую гипотезу и доказать, что разница средних
длительностей согласных в быстром и медленном темпах статистически значима.
Результаты вычислений представлены в таблице 2.
Таблица
2
Значения tФ
и tq
для
исследуемых согласных русского языка
в
медленном и быстром темпах речи D1 и D2
|
№ п/п |
Согласный |
D1 |
D2 |
||
|
tФ |
tq |
tФ |
tq |
||
|
1 |
/b/ |
2,27 |
2,26 |
1,71 |
2,26 |
|
2 |
/p/ |
2,31 |
2,22 |
0,83 |
2,22 |
|
3 |
/t/ |
2,28 |
2,26 |
0,93 |
2,26 |
|
4 |
/d/ |
1,99 |
2,26 |
2,61 |
2,23 |
Согласно произведенным подсчётам, у D1 tФ и tq для согласных /b, p, t/ различается на
статистически значимую величину. Разница между tФ и tq для /d/ статистически не
значима. У D2 наблюдается обратная тенденция: tq для согласных /b, p, t/ превышает tФ на статистически значимую величину. Вероятно, это объясняется тем, что D2 чтобы замедлить темп речи увеличивал паузы между словами. Таким образом, во-первых, дикторы используют
разные стратегии варьирования темпа, во-вторых, можно предположить, что если
диктор увеличивает темп за счет более быстрой артикуляции, а не манипуляций с
паузами, то разница длительностей указанных согласных оказывается статистически
значимой.
Несмотря на то, что в
данной работе была охвачена малая часть согласных в интервокальном положении
внутри слова и на стыке слов, все же представляется возможным сделать вывод о
том, что при варьировании темпа меняются не только количественные
характеристики гласных, но и согласных. На определенном этапе эти изменения
провоцируют порой существенные изменения качества. В результате исследования
были зафиксированы следующие модификации исследуемых согласных: сонантизация, оглушение, эллипсис.
Например, в стимуле «небо
было» в быстром темпе произнесения D1 произошло выпадение и стяжение сегмента.
Согласно слуховому анализу данный стимул воспринимается как «нё_было».
Гласный получил огубленность, согласный /b/
выпал. Огубленность выступила «следом» от выпавшего
согласного.
Реализация согласного /b/
в стимуле «небо было» в
быстром темпе произнесения D1:

n’ j o b
ɨ
В стимуле «улыбаться» в быстром произнесении D1 согласный /b/ воспринимается
как /v/. Предполагаемая причина – ослабление смычки
исследуемого согласного. Так смычная фаза согласного /b/ в данном стимуле
составила 49 мс., общая
длительность согласного – 58 мс. В изолированном
произнесении: смычка – 99 мс., общая длительность согласного
– 109 мс. По сравнению со стимулом, взятым из слова в
изолированном произнесении, произошло ослабление смычки.
Реализация
согласного /b/ в стимуле «улыбаться» в быстром темпе произнесения D1:

ɨ b a
Такие изменения возможны
потому, что восприятие «позволяет» им происходить. Эксперименты подтверждают,
что человек при восприятии речи никогда не действует только как «анализатор
акустических характеристик» и использует акустические характеристики только
постольку, поскольку это необходимо для выявления самых приблизительных,
достаточно грубых признаков звуковой последовательности. Уточнение признаков и
их фонемная интерпретация производятся на основании таких неакустических
признаков, как знание о комбинаторных и позиционных изменениях аллофонов,
вероятность появления того или иного аллофона в текущем речевом сообщении,
общая смысловая организация воспринимаемого сообщения [1, с. 146]. Эта
закономерность создаёт условия и возможности для широкой вариативности звуков
языка. Изменения, которые не замечают носители языка в широком контексте,
фиксируются восприятием в условиях ограниченного контекста.
Следует особо
отметить, что представленные данные являются результатом исследования речи двух
дикторов, так что некоторые модификации согласных можно связать с их
индивидуальными особенностями. Для получения более достоверных данных о
соответствующих характеристиках подготовленной речи необходимо решение
следующих задач:
1) увеличение
количества дикторов для «отсеивания» индивидуальных особенностей от
общепринятых; 2) более детальное рассмотрение перерастания количественных
изменений согласных в качественные при увеличении темпа речи.
СПИСОК
ЛИТЕРАТУРЫ
1. Бондарко Л.В. Фонетика современного русского языка. СПб., 1998. 276 с.
2. Бондарко Л.В., Вербицкая
Л.А., Гордина М.В. Основы общей фонетики. СПб., 1991. 152с.
3. Брантов С.А. Просодическая
составляющая риторической аргументации публичной речи (на материале британских
лекций): дис. … канд. филол.
наук. М.: МПГУ, 2004.
4. Веренич Н. И. Влияние темпа
речи на модификации звуков (экспериментально-фонетическое исследование на
материале современного немецкого языка): дис. … канд.
филол. наук. Минск, 1984.
5. Гусева С.И.
Коммуникативная перспектива и реализация сегментных единиц: Экспериментальное
исследование на материале немецкого языка / Амурский гос. ун-т. Благовещенск,
1998. 180 с.
6. Земская Е.А., Китайгородская М.В., Розанова Н.Н. Особенности мужской и женской речи // Русский язык в его
функционировании: коммуникативно-прагматический аспект: Сб. статей. М., 1993.
147 с.
7. Зиндер Л. Р. Общая фонетика и
избранные статьи. М., 2007. 265 c.
8. Зиндер Л.Р. Общая фонетика и избранные статьи. М., 1979. 297 с.
9.
Зиндер
Л.Р. Влияние темпа речи на образование отдельных
звуков // Вопросы фонетики. Издательство Ленинградского университета, 1964,
№ 325, вып. 69. С. 3-28.
10. Сапожков
М.А., Михайлов В.Г. Вокодерная связь. М., 1984. 248
с.
11. Справочник
по инженерной психологии. М., 1982. 368 с.
12. Фонетика спонтанной речи / под ред. Н.Д. Светозаровой.
Л., 1988. 248 c.
13. Фонетически представительный текст «Был тихий серый вечер…»
Официальный сайт СПбГУ, URL: http: www.phonetics.spbu.ru/fpt1.rtf.
14. Щерба Л.В. О разных стилях
произношения и об идеальном фонетическом
составе слов //
Избранные работы по русскому языку. М., 1957. 358 с.
15. Hudgins C.V., Stetson R.H. Relative speed of articulatory movements // Archives neerlandaises de Phonetique experimentale. 1937, vol. 13. P. 85-94.
16. Lehiste I. Suprasegmentals. Cambridge, Mass., L.: M.I.T.
Press, 1970. 194 p. ISBN-10:
0262120232 ; ISBN-13:
978-0262120234.